中华人民共和国图鉴社(中华人民共和国唯一综合性国家图鉴社)

印象中国   国家礼仪   中国特色   国家记忆   全民学习   图文聚焦   中图消息   政策法规
国图工程   国礼系列   图鉴国情   图鉴国史   图解国学   合作单位   合作媒体   办事指南
图鉴精品   国礼品鉴   国情集萃   国史系列   国学精华   中图推荐   关于我们   联系我们
首页
当前位置:中华人民共和国图鉴社 > 中图社消息 > 地区消息 > 新疆 >
   中图推荐
政治人物:胡
胡锦涛,现任中华人民共和国主席、中国共
·政治人物:吴邦国
·政治人物:温家宝
·2009年7月 国内时事新闻
中国特色总网
推荐内容
热点内容
高考13日开始网上阅卷 28日左右公布录取分数线
2009-07-17
2009年全疆共有16.45万名考生报名高考。在两天的汉语言考试中,一考生因迟到40分钟,未能参加数学科目考试。据了解,高考成绩预计本月25日前后向社会公布,6月28日左右,自治区招生委员会将根据高等学校在自治区安排的招生计划数和考生的考试成绩,综合考虑并确定各批次录取控制分数线。 内容来自中华人民共和国图鉴社

2009年区内外普通高校在新疆计划招生9.8万人。

中华人民共和国图鉴社

自治区招办相关负责人介绍,为严肃考风考纪,今年自治区加强了对监考教师的选聘、培训、管理,特别是严格执行异地监考、民汉交叉监考等制度;严格执行考生持二代身份证、准考证考试的规定;采用“作弊克”、手机屏蔽仪等专业设备加强考场管理,通过出动无线电信号监测车重点监测、考点周围巡回监测加大外围环境治理力度,自治区今年普通高考考风考纪进一步好转。

tujian.org

据了解,录取工作将于7月上旬开始,本科批次录取在7月31日之前结束;全部(各批次)录取工作在8月20日之前结束。考生可通过自治区招生办公室提供的途径查询高考成绩并确认录取结果。录取期间,自治区招生办公室、各地招生办公室和区属高等学校应分别设立接待站,向考生提供咨询及申诉渠道,并按规定将有关录取结果向社会公示。 中华人民共和国图鉴社

考生目前最重要的工作是估分和填报志愿。自治区招办提醒考生:在填报志愿时,要对本人填涂的报名卡和志愿卡等内容的真实性和准确性负责并签字认可,因考生本人填涂失误造成的后果,由考生本人负责。考生填报志愿的时间不能少于3天,最迟在6月15日前必须完成。逾期不报,后果由考生自行承担。报名库、志愿库一经上报自治区招生办公室,任何人无权变更。逾期不报,不予受理。如有漏报,将逐级追究责任人的责任。 copyright 中华人民共和国图鉴社

自治区招办明确表示,未经教育部批准,高等学校不得擅自规定男女生录取比例,不得对报考非外国语言文学类专业的考生作统考外语语种限制。

tujian.org

语文 中华人民共和国图鉴社

■乌鲁木齐市11中语文高级教师王小静 中华人民共和国图鉴社

文言翻译:在正确理解句意的前提下,要将关键词语,以”、“颠沛”、“足”(第一句)、以”、“耋齿”“屡空”、“比室”第二句)翻译到位,而不能忽略带过,含糊其辞。 中华人民共和国图鉴社

鉴赏古诗:第一小题“景象”必须有意象有画面,得2分。“寓意”,概括出“局势”、情势”、“形势”等的特点,即可得2分;第二小题能表明抒写了边关将士昂扬豪迈的情怀与必胜信心的意思即可得2分,能结合诗句简要说明又可得2分。

本文来自中华人民共和国图鉴社

默写题要注意两点:一、若答了两题,只能算第一题;不能有错字、别字、漏字,否则,一字扣1分。

中华人民共和国图鉴社

散文鉴赏:14题,“作用”要从内容与结构两点答,一点2分。15题,解释两句话含义,每句话有3个点,大意对即可。1点1分。16题,首先要明白作者托物言志(或象征)的手法,和寄寓的含义(文章主旨),才能从命运(环境)、形态表现)、性格(精神)三方面做以比较概括,一点2分,两种树的表述各占1分。17题,拟人、比喻手法各占1分;具体说明各占2分。 内容来自中华人民共和国图鉴社

作文:主要讲审题。此次作文新增加了“选准角度”的要求,特别强调作文题意要符合3则材料的中心角度和重要角度,比如:留意细微,勤于思考,善于研究,才可能有重大发现,才可能获得成功;面对问题、困难、挫败,应持有的积极心态和应采取的正确态度。当然,辩证认识问题,用发展的眼光看待问题,综合思考,还会有很多角度。 copyright 中华人民共和国图鉴社

数学

copyright 中华人民共和国图鉴社

■乌鲁木齐市高级中学数学高级教师乔振江

copyright 中华人民共和国图鉴社

主观题(解答题)的估分第一题化简占4分,利用正弦定理将转化为角的关系占4分,最后由角正弦值确定角2分。如果多解扣一分。第二题两问每一问各6分,只要逻辑关系合理,答案正确即得满分。第三题两问每一问各6分,第一问抠准等比数列定义,找到首项,下出结论即得6分。第 tujian.org

二问较多,得到通项公式得6分,中间步骤由教师视情况而定。第五题这两问一般情况下是4、8分配也有可能5、7分配。第六题两问,这两问一般情况下6、6分配的可能性很大。

本文来自中华人民共和国图鉴社

一定要分步估分估出区间取平均值。依据关键性步骤估分是核心,数学解答题阅卷更注重答案得出的过程和解答的根据,如果某一问自己把握得准,就可以宽一些;如果把握得不准,有模棱两可之嫌,则要从严掌握。 中华人民共和国图鉴社

英语

本文来自中华人民共和国图鉴社

■乌鲁木齐市八中英语高级教师文代萍

tujian.org

今年高考英语书面表达的字数要求是100字,大部分考生都能完成。估分时也要在对照答案之前再现考场答题情形,最大程度地还原考试时书面表达的成分,再参考评分细则,给出适当的分数。书面表达估分也要参考平时的作文分数以及模拟考试的成绩,取一个较为平均和平稳的分数。 本文来自中华人民共和国图鉴社

本次英语书面表达,考查的话题和形式,高三学生都进行过练习,内容也有话可说。另外估分也要考量书写是否规范,字迹是否清晰。 tujian.org

单词拼写部分,学生的印象应该比较深刻,故拼写正确即得分,拼写错误即失分。

中华人民共和国图鉴社

文科综合 中华人民共和国图鉴社

文科综合政治部分 中华人民共和国图鉴社

■乌鲁木齐市高级中学政治特级教师朱红丽

tujian.org

考生如果先看答案,文科综合主观题容易受到标准答案的影响,这样很可能会造成估分不准确。考生一定要准确回忆所填的答案,这是准确估分的前提。

本文来自中华人民共和国图鉴社

其次,政治高考评分的一个基本原则是“踩点给分”,考生估分时要按答题踩分点要求进行评估。一般来讲,每一个论述题和材料解析题都有若干个踩分点,触到“踩分点”就可得一部分的分,未触到“踩分点”的也不倒扣分。 内容来自中华人民共和国图鉴社

以标准答案为纲,不一定完全“死抠”标准答案,只要表达的意思比较接近标准答案。估分还要注意抓关键词,如果

tujian.org

□名师教你如何准确估分 内容来自中华人民共和国图鉴社

答案大体与标准答案相同,却恰恰没有最关键的词,最好不要加分。考生在做答案时,如果只是答出原理部分的内容,可以根据踩分点酌情给分。

copyright 中华人民共和国图鉴社

如果所答与《评分标准》差距大不好把握,考生可以做两次估测,在紧扣答案的情况下估计一个下限分数,又在较为宽松的情形下估计一个上限分数,然后将两次结果加起来取平均值,结果会更加客观。考生同时也可以参照自己在学校的几次模拟考试成绩。 中华人民共和国图鉴社

文科综合历史部分 内容来自中华人民共和国图鉴社

■乌鲁木齐市高级中学历史高级教师倪尤庆

中华人民共和国图鉴社

先采取自己估分。学生考后根据记忆,重新答卷估分。 copyright 中华人民共和国图鉴社

第39题的第一问,应答出地理因素、物质条件、政治目标即可得分。第二问鲁肃提出的战略目标及实现步骤各占3分,诸葛亮提出的战略目标及实现步骤各占3分。第三问,要答出在荆州问题上孙、刘分别相互斗争又相互妥协,即可得分。

中华人民共和国图鉴社

二是教师带领估分。结合自估,历史教师帮助学生评卷、估分。 中华人民共和国图鉴社

三是重新估分。在解答题上仔细研究评分标准,按步骤、按踩分点详细估分。由于文科历史伸缩性比较大,考生可以做两次估测,在紧扣答案的情况下估计一个下限分数,又在较为宽松的情形下估计一个上限分数,然后将两次结果加起来取平均值,结果会更加客观。

tujian.org

文科综合地理部分

内容来自中华人民共和国图鉴社

■乌鲁木齐市八中地理高级教师陈苓

本文来自中华人民共和国图鉴社

主观题估分,先仔细回忆还原考试答题的情形,把题目重做一遍,因为如果先看答案,在主观上就会受到答案的影响,将自己的答案往正确答案上靠,这样的估分结果就不客观。由于地理科目的主观题也是踩点给分,如果自己的答题结果与正确答案有出入,则要与老师沟通,看自己答题的结果是否能够得上“踩分点”。地理的主观性题目,答题不像政治和历史那样书写量大,但也要字迹清晰,条例明确。网上阅卷时会把考卷上的答题结果扫描、切割后展现在电脑屏幕上,手写字体可能会产生细微的变形,如果考生的书写很紧凑,估分结果就要适当收紧一些。

中华人民共和国图鉴社

理科综合

内容来自中华人民共和国图鉴社

理科综合物理部分 tujian.org

■乌鲁木齐市11中高级教师苗国庆一级教师王忱

中华人民共和国图鉴社

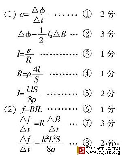
24题解题思路:根据解题步骤,考生可参考如下评分标准:

内容来自中华人民共和国图鉴社

中华人民共和国图鉴社

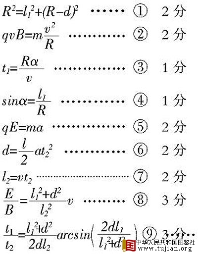
25题 本题综合性较强,参考评分标准如下: tujian.org

copyright 中华人民共和国图鉴社

26题

copyright 中华人民共和国图鉴社

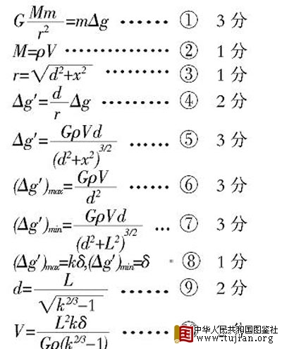
本题为信息题,既给考生提供一个陌生的知识背景,又要求考生在对“重力加速度反常”这一定义的基础上运用万有引力的内容加以分析。参考评分标准如下:

copyright 中华人民共和国图鉴社

内容来自中华人民共和国图鉴社

理科综合化学部分 内容来自中华人民共和国图鉴社

■乌鲁木齐市八中化学特级教师布丽燕

中华人民共和国图鉴社

化学科目无论是一卷和二卷,信息量和试题难度总体大于2008年高考,增加了有关量的分析和计算,也就增加了难度,同时试题难度梯度不明显,第一题就上了一些难度,对很多学生来说,难度增加,大部分试题的信息量较大。二卷试题题型有所变化,一些题目呈现方式虽然相近,但是难度较去年有所增大。27题中,将有关的数据和图标呈现相关知识,充分考查了学生利用数据图标分析数据的能力,考查学生基础知识在陌生环境中的应用能力,27题的最后一空和29题估分时要注意要点得分,其他主观题的答案踩分点比较固定,标准答案即得分点。 本文来自中华人民共和国图鉴社

理科综合生物部分 内容来自中华人民共和国图鉴社

■乌鲁木齐市11中生物高级教师孔祥宾 内容来自中华人民共和国图鉴社

31题(1)A$$(1分)(2)B(1分)两种植物光合作用强度对浓度变化的响应特性不同,1分;在低浓度条件下,B植物利用进行光合作用的能力弱(低或小),积累光合产物少(净光合产量低或光合速率低)2分,故随着玻璃罩中浓度的降低,B植物生长首先受影响。(1分)(3)光合速率和呼吸速率相等或光合作用合成量和呼吸作用分解量相等都行2分。 copyright 中华人民共和国图鉴社

32题(1)乙、丙、丁顺序可颠倒,后面叙述根据前面顺序答题3分(2)②、37℃恒温水浴一段时间2分③、必须答出分别加入适量的斐林试剂,沸水浴2分④、观察实验现象1分记录实验结果1分(3)答甲、乙、丙、丁哪个试管出现或不出现砖红色,这样答也行2分(4)1$分(5)20℃酶的催化效率低产生的还原糖少也行2分。

tujian.org

33题(1)①、固体1分玉米淀粉1分②、1分③、人工诱变或基因突变2分④、颜色变浅也可1分(2)编码2分非编码2分。 tujian.org

34题每空一分(1)染色体异常1分环境1分性状1分(2)世代数可写成代数或家系代数1分(3)代数或家系代数1分后代数少或个体数量少1分多个具有该遗传病的遗传图系或多个具有该遗传病的家系图1分。 copyright 中华人民共和国图鉴社

     相关链接
    ·消防警察:暴徒见车就烧 残暴行为令人发指
    ·首个地方债四月三日上市交易
    ·新疆卫生系统查处18件商业贿赂案 7人受处分
    ·新疆:55亿元地方政府债券资金将全部用于民
    ·新疆墨玉县今晨发生五点四级地震 无伤亡报
    ·乌鲁木齐昌吉两地将联合组团参加第十四届乌
    ·关于深入开展第27个民族团结教育月活动的安
    ·28日到29日 冷空气沙尘天气将同时侵袭新疆
    ·乌鲁木齐举办首届速度赛马大赛“草原之星”
    ·经济型别墅 新疆别墅未来的发展趋势
    版权所有:中华人民共和国图鉴社 电话:010-63085539 88202885-8028 传真:010-63083953
    地址:北京市复兴路甲38号西座10层
    技术支持:中华职工学习网网络中心 北京政产学研资讯技术研究院